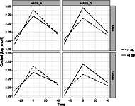
New Paper: Associations Between Symptoms of Depression and Anxiety and Cortisol Responses to and Recovery from Acute Stress
New paper from our Brandeis Health Psych Lab Team under first authorship by grad student Alex Fiksdal showing that symptoms of anxiety and depression show differential, specific associations with cortisol response and recovery to acute stress.
Particularly excited about the inclusion of recovery slopes in our analytical strategy.
limited time free access at:
